La valutazione dell'azione sismica di progetto ai sensi di quanto esposto nelle NTC2008 deve essere svolta in maniera rigorosa. La norma, infatti, cita al cap.3.2.2 "Ai fini della definizione dell'azione sismica di progetto, si rende necessario valutare l'effetto della risposta sismica locale mediante specifiche analisi, come indicato nel § 7.11.3 . . . .".
In assenza di tali analisi è possibile, per determinati assetti sismostratigrafici, ricondursi per la stima dell'azione sismica all'approccio semplificato costituito dall'utilizzo delle categorie di sottosuolo.
Tale approccio consente, con una procedura semplificata comparabile all'utilizzo di un abaco, di ottenere una valutazione dell'azione sismica sulla base di un parametro stimatore (Vs30) molto discusso dagli specialisti del settore.
L'approccio semplificato ha indubbiamente il vantaggio di limitare i costi di indagine, poichè ai fini della stima dell'azione sismica è richiesta una caratterizzazione entro e non oltre i 30m di profondità dal piano campagna e, successivamente, ne consente una determinazione del tutto automatica. Infatti, stabilite le coordinate del sito ed avendo recepito dallo strutturista le caratteristiche della scelta progettuale, si determina uno spettro di risposta target rappresentativo dell'azione sismica del sito in esame, considerandolo caratterizzato da roccia affiorante e topografia pianeggiante o sub pianeggiante. Definita la categoria di sottosuolo, a seguito della realizzazione della campagna di indagini e sulla base di quanto prescritto al cap. 3.2.2 delle NTC2008, automaticamente vengono definiti dei parametri legati all'assetto sismostratigrafico locale, in grado di modificare lo spettro target descritto al precedente capoverso.
L'approccio semplificato ha, però, alcuni svantaggi che sovente possono ripercuotersi su una stima dell'azione sismica poco cautelativa.
A tal proposito, in figura 1 viene illustrato un confronto in termini di spettro di risposta elastico (damping = 5%) tra due analisi di Risposta Sismica Locale posti a circa 100m di distanza. A fronte di un'analoga pericolosità di base ed un contesto geologico superficiale identico (corrispondente ad una area di affioramento di depositi fluvio-lacustri sovrastanti un substrato sismico posto a 120m di profondità), le analisi mostrano differenze non trascurabili dovute ad un diverso assetto sepolto.
Infatti, nel caso del "Sito 2" la distribuzione delle velocità sismiche incrementa gradualmente con la profondità secondo un blando gradiente e, di conseguenza, lo spettro di risposta relativo ha una buona congruenza con lo spettro proposto dall'approccio semplificato di normativa per una categoria di sottosuolo di tipo B.
Nel "Sito 1", dove l'approccio semplificato presenterebbe (secondo le attuali consuetudini della pratica professionale) un'analogia con la categoria B, è presente un livello "sospeso" all'interno delle coperture in cui sussiste un non trascurabile contrasto di velocità di propagazione delle onde di taglio che si ripercuote su uno spettro di risposta molto più severo, perlomeno fino a 0.5sec di periodo.
Nel caso in oggetto, quindi, la Risposta Sismica Locale (RSL) porterebbe ad un risultato più conservativo e più corrispondente al reale assetto sepolto dell'area sia in termini di spettri di risposta elastici (come in figura) sia conseguentemente come spettri di progetto. Infatti, il ricorso alle categorie di sottosuolo ed al parametro stimatore Vs30 non tiene conto di alcuni aspetti i quali, invece, tendono ad essere primari nella comprensione dell'amplificazione locale di natura sismostratigrafica, come ad esempio il contrasto di rigidità sismica (definita come il rapporto tra i valori di velocità di propagazione delle onde di taglio delle coperture e del substrato sismico), che viene considerato seppur in minima parte solo nella descrizione della categoria di sottosuolo E.
Figura 1
Del resto, il ricorso alle categorie di sottosuolo, previsto dalla vigente normativa di settore solo per alcuni assetti sismostratigrafici semplici, viene considerato solo una modalità alternativa ad analisi più rigorose, conosciute come analisi di Risposta Sismica Locale.
Tali analisi, sebbene siano ritenute dalle NTC2008 la maniera principale per la valutazione dell'amplificazione di sito, sono, al giorno d'oggi, poco utilizzato nella quotidiana pratica professionale.
L'esecuzione di una RSL consente di ottenere una valutazione dell'amplificazione locale più rigorosa dell'approccio semplificato e richiede (eventualmente) alcuni approfondimenti d'indagine come ad esempio la necessità di pervenire ad una stima delle caratteristiche sismostratigrafiche del sito fino al raggiungimento del tetto del substrato sismico invece di limitarsi alla profondità di 30m dal piano di posa delle fondazioni.
Per la definizione completa del profilo sismostratigrafico (prevalentemente puntando su quei parametri che in un'analisi di RSL contribuiscono in maggior misura alla stima dell'azione sismica) può essere utile integrare le indagini sismiche attive con prospezione geofisiche di tipo passivo; ciò soprattutto in casi in cui lo spessore delle coperture sismiche è elevato (indicativamente >50m).
Pertanto, nell'ambito di una progettazione relativa ad un edificio strategico e/o rilevante, per il quale si presume un piano di indagini in situ di buona qualità e quantità, sussistono tutte le condizioni per poter eseguire analisi di RSL per la stima diretta dell'azione sismica di progetto, anche come confronto con gli analoghi risultati prodotti mediante l'approccio semplificato di normativa.
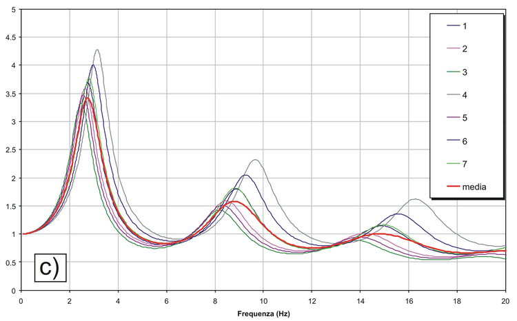
Figura 2 - a) accelerogrammi di output; b) sismostratigrafia di input; c) Funzioni di amplificazione spettrale (FAS) della media di output e dei 7 singoli input sismici.
I passaggi che portano alla stima dell'azione sismica sulla base di specifiche analisi di RSL, che siano esse svolte in assetto monodimensionale oppure bidimensionale, possono essere schematicamente così riassunte:
- definizione di un idoneo input sismico, atto a rappresentare l'azione sismica al tetto del substrato sismico, dove si presume un'amplificazione locale nulla;
- determinazione dell'input geologico, ovvero la definizione dell'assetto sismostratigrafico del sito e conseguente parametrizzazione dei sismostrati individuati;
- esecuzione delle analisi di RSL;
- scelta e rappresentazione dei parametri di output.
Figura 3 - Confronto tra analisi di RSL ed approccio semplificato di normativa in termini di: a) Spettri di risposta elastici al 5% di smorzamento e b) spettri di progetto (fattore di struttura q=2).
Per quanto attiene al primo punto, le NTC2008 vietano, per l'esecuzione di analisi di RSL, l'utilizzo di accelerogrammi artificiali; pertanto, nella pratica comune si ricorre all'utilizzo di gruppi di accelerogrammi naturali, estratti da differenti banche dati nazionali e/o mondiali. La selezione può essere svolta mediante l'ausilio di software che, in maniera più o meno semplificata, consentono di operare le suindicate scelte (Iervolino et al., 2010, Zuccolo et al., 2014, Acunzo et al., 2014), nel rispetto delle condizioni di sismo-compatibilità con le caratteristiche di pericolosità sismica di base del sito e di spettro-compatibilità media con lo spettro target (Cat. A-T1) dell'area in esame.
Alla base del processo di estrazione, per i suindicati accelerogrammi devono essere rispettate le condizioni di spettro-compatibilità con lo spettro target del sito (Cat. A-T1, ovvero ipotizzando che il sito di interesse sia posto su roccia in condizioni topografiche pianeggianti) e di sismo-compatibilità, ovvero il rispetto delle caratteristiche sismologiche del sito, che possono essere rappresentate, tra le varie scelte possibili, dalla coppia magnitudo-distanza (desumibile on-line, ad esempio consultando le pagine web-gis dedicate da INGV).
La determinazione dell'input geologico si effettua a valle dell'esecuzione delle indagini di esplorazione del sottosuolo e prevede, per ogni sismostrato individuato la determinazione degli spessori (o geometrie sepolte nel caso di analisi 2D), dei valori di propagazione delle onde sismiche (Vp e Vs per le analisi 2D, oppure generalmente solo i valori di Vs nel caso di analisi 1D), dei pesi di volume e delle curve di decadimento del modulo di taglio normalizzato (G/G0) e di incremento del rapporto di smorzamento D(g), necessarie per simulare la non linearità dei terreni in condizioni sismiche.
In riferimento all'ultimo punto in elenco, i dati di output da scegliere (tipicamente riferiti al piano di posa delle fondazioni), possono essere espressi sia nel dominio del tempo (accelerogrammi, velocigrammi, etc..) sia nel dominio delle frequenze (Funzioni di Amplificazione Spettrale, spettri di risposta elastici e spettri di progetto), come rappresentato nelle figure 2 e 3.
In conclusione, quindi, l'esecuzione di analisi di RSL è un'attività praticabile non solo in ambito accademico e per finalità connesse con di studi di microzonazione sismica di tipo analitico (definite di terzo livello); studi di RSL possono essere realizzati anche in ambito progettuale per la stima dell'azione sismica di progetto, soprattutto in riferimento alla progettazione di opere strategiche e rilevanti, per cui possiamo ritenere tali approfondimenti oltre che fattibili anche estremamente necessari.
Riferimenti bibliografici
Acunzo G., Pagliaroli A. & Scasserra G. (2014) - In-spector: un software di supporto alla selezione di accelerogrammi naturali spettrocompatibili per analisi geotecniche e strutturali. Atti del XXXIII Convegno Nazionale GNGTS, Bologna.
Ambraseys N., Smit P., Berardi R., Rinaldis D., Cotton F., Berge C. (2000) - Dissemination of European strongmotion data (Cd-Rom collection). European Commission, Dgxii, Science, Research and Development, Bruxelles;
Ambraseys N., Douglas J., Rinaldis D., Berge-Thierry C., Suhadolc P., Costa G., Sigbjornsson R., Smit P. (2004) - Dissemination of European strong-motion data, vol 2,Cd-Rom. Collection. Engineering and Physical Sciences Research Council, United Kingdom;
Bardet J.P., Ichii K. & Linn C.H. (2000) - EERA, A computer program for Equivalent Earthquake site Response Analyses of Layered Soil Deposits. University of Southern California;
C.S.LL.PP. 02.02.2009 n°617 - Circolare del consiglio superiore del lavori pubblici: Istruzioni per l'applicazione delle "Nuove norme tecniche per le costruzioni" D.M. 14.01.2008
Gruppo di Lavoro MS-AQ (2010) - Microzonazione sismica per la ricostruzione dell'area aquilana. Regione Abruzzo - Dipartimento della Protezione Civile, L'Aquila, 3 vol. e Cd-rom;
Idriss I.M. & Sun J.I. (1992) - SHAKE91: A computer program for conducting equivalent linear seismic response analyses of horizontally layered soil deposits. User's Guide, University of California, Davis, California, 13 pp;
Iervolino I., Galasso C. & Cosenza E. (2010) - REXEL: computer aided record selection for codebased seismic structural analysis. Bulletin of Earthquake Engineering, 8:339-362;
Kottke Albert R. & Rathje Ellen M. (2008) - Technical Manual for Strata - PEER 2008/10;
Kramer S.L. (1996) - Geotechnical Earthquake Engineering. Prentice-Hall, pp. 652;
Lanzo G. & Silvestri F. (1999) - Risposta Sismica Locale. Edizioni Hevelius;
NTC2008 - Norme Tecniche per le Costruzioni. Decreto 14 gennaio 2008 del Ministero delle Infrastrutture. Supplemento Ordinario della G.U. n. 29 del 4.02.2008;
Schnabel P.B., Lysmer J. & Seed H.B. (1972) - SHAKE: A computer program for earthquake response analysis of horizontally layered sites. Report No. EERC 72-12, Earthquake Engineering Research Center, University of California, Berkeley, California;
Smerzini C. & Paolucci R. (2011) - SIMBAD: a database with Selected Input Motions for displacement-Based Assessment and Design - 2nd release. Research Project DPC - RELUIS 2010-2013;
Working Group ITACA (2010) - Data Base of the Italian strong motion records: http://itaca.mi.ingv.it.
Zuccolo E., Corigliano M., Lai C.G. (2014). Selection of spectrum- and seismo-compatible accelerograms for the Tuscany region in Central Italy. Soil Dynamics and Earthquake Engineering, 66, 305-313.


