"La risposta sismica locale di una valle alluvionale è influenzata da una complessa combinazione di fattori geometrici e stratigrafici, la cui ripercussione sul moto in superficie non è semplicemente sintetizzabile negli approcci normativi, come invece accade per gli effetti stratigrafici 1D e topografici.
Nel presente studio si riportano i risultati ottenuti da un'estesa analisi parametrica su modelli di valle superficiale di forma trapezia, finalizzati alla valutazione dell'influenza sul moto in superficie del fattore di forma, dell'angolo d'inclinazione dei bordi, del contrasto d'impedenza e della frequenza del moto sismico di riferimento.
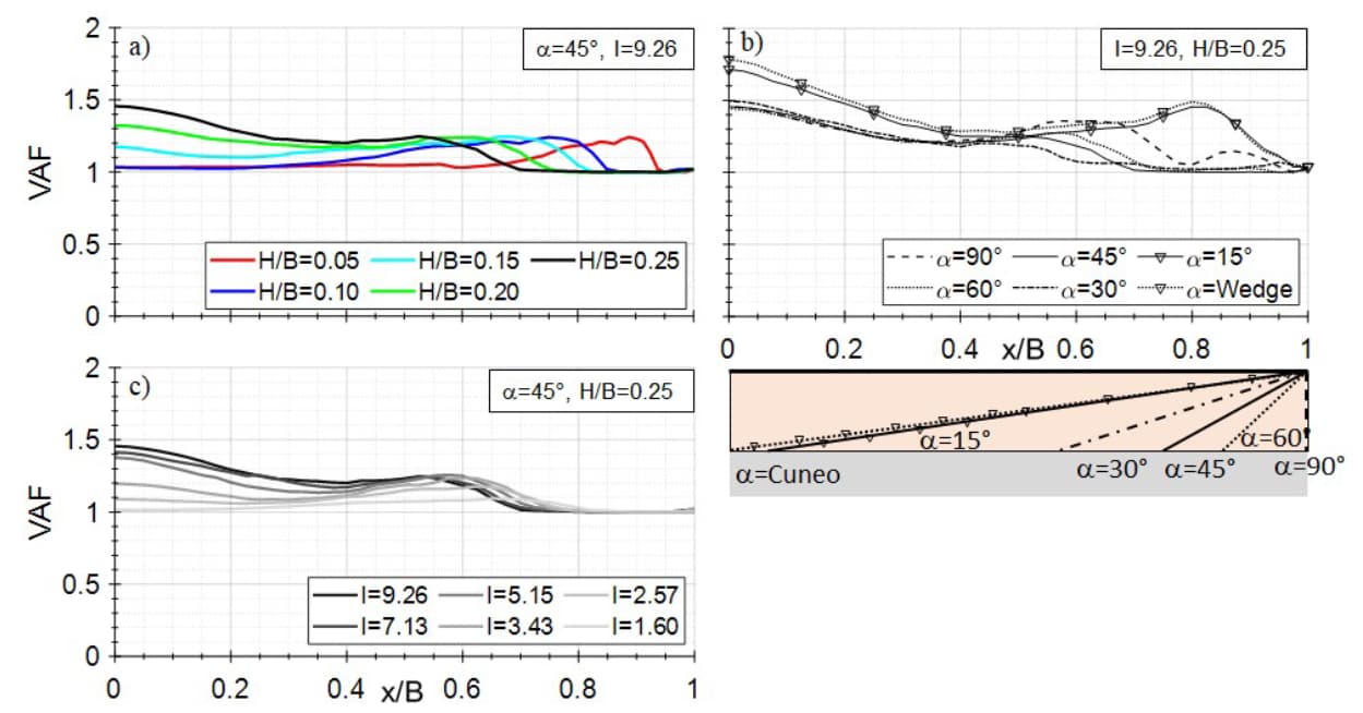
I risultati sono stati sintetizzati definendo un fattore di amplificazione di valle, denominato VAF, attraverso il quale quantificare l'amplificazione della risposta bidimensionale lungo la superficie rispetto a quella monodimensionale in corrispondenza della verticale di centro valle.
I risultati delle analisi parametriche presentate costituiscono il punto di partenza per la definizione di abachi semplificati che consentano di tener conto degli effetti di valle anche nella normativa tecnica."
Incontro Annuale dei Ricercatori di Geotecnica 2021 - IARG2021_online
Intervento di Giorgio Andrea Alleanza, Anna d'Onofrio, Francesco Silvestri. Sessione 4 Geotecnica Sismica
Atti completi, file .zip (link). ISBN: 9788897517153. Il file, una volta scaricato, deve essere decompresso affinché l'indice funzioni correttamente.

